개요
음악을 공부 하려고 하면 늘 부딪치는 부분이 반음의 존재 입니다.
즉, 미파(EF)와 시도(BC)를 말합니다. 피아노의 건반에 다른 Note(음)에는 음과 음 사이에 검은 건반이 있는데 EF와 BC사이에는 검은 건반이 없습니다.
이것은 EF와 BC는 반음이기 때문에 그런데, 그러면 반음은 왜 생겼을까 라는 의문이 들었습니다.
이런 궁금증을 가지고 여기저기 검색하고 공부를 해 보니 우리가 수학자로 알고 있는 피타고라스(Pythagoras) 라는 분을 만나게 됩니다.
한마디로 음악에 지대한 영향을 끼친 사람임을 알게 되었습니다. 즉, 모든 음악의 토대가 되는 “음계”를 탄생 시킨 사람입니다.
본 글에서 피타고라스는 어떻게 하여 음을 발견하고 음계를 완성해 갔는지 살펴보고 이러한 과정에서 어떻게 반음이 생기게 되었는가에 대해 알아 보도록 하겠습니다.
피타고라스의 발견
피타고라스는 대장간의 네 개의 망치 소리를 듣다가 음악적 조율의 원리를 발견했다고 합니다.
어떤 때는 조화로운 소리가 들리고 어떤 때는 조화롭지 못한 소리가 들려서 그 궁금증을 참지 못하고 대장간에 들러서 망치를 구경하였습니다.
4개의 망치가 있는데 길이가 각각 다르다는 것을 알게 되었고 이 차이가 어떤 조합은 조화로운 소리를 내고 어떤 조합은 조화롭지 못한 소리를 낸다는 것을 알아 내었습니다.
<그림 1: 피타고라스의 망치>
이 내용은 WIKIPEDIA에서 참조를 하였습니다. 아래는 WIKIPEDIA의 링크 입니다.
피타고라스의 망치
이것을 계기로 피타고라스는 현을 가지고 여러가지 실험을 하였습니다.
즉, 일정한 한개의 현을 기준으로 삼고 길이가 다른 것을 만들어서 비교를 해 보았을때 소리가 다르게 난다는 것을 알게 되었고
그 길이와 소리 사이에는 일정한 비율이 있다는 것도 발견 하였습니다.
]
<그림 2: 피타고라스 실험>
위 그림은 Franchinus Gaffurius의 책 Theorica musicae에 있습니다.
아래 위키피디아 페이지를 참조 하실 수 있습니다.
Franchinus Gaffurius
피타고라스는 하나의 음이 단순한 소리가 아니라,
여러 진동이 겹쳐 만들어진 조화의 결과임을 알았습니다.
오늘날 물리학에서는 이것을 배음(Harmonic) 이라고 부릅니다.
줄 하나가 진동할 때, 기본 진동(1차)뿐만 아니라 2차, 3차, 4차, 5차 진동이 함께 나타나며
각각은 다른 음정(옥타브, 5도, 4도, 3도 등)을 형성합니다.
즉, 우리가 듣는 하나의 음 안에는 이미 다른 음들이 숨어 있는 것입니다.
아래 그림은 이러한 배음 구조를 시각적으로 보여줍니다.

<그림 3: 배음구조>
위 그림은 Shawnboucke.com의 Harmonics 에서 가져 왔습니다.
피타고라스는 여기에서 더 나아가, 배음 구조(Harmonic)를 통해
수학적 비율이 조화로운 소리의 근원임을 발견했습니다.
그는 현의 길이를 일정한 비율(예: 1/2, 2/3, 3/4 등)로 바꾸어 가며
소리의 관계를 실험했고, 그 과정에서
조화로운 음정(옥타브, 완전5도, 완전4도 등) 이 일정한 수비적 관계를 따른다는 것을 밝혔습니다.
다음장에서는 우리가 알고 있는 7음계인 도레미파솔라시도(CDEFGABC)를 어떻게 찾았는지에 대해 본격적으로 알아 보도록 하겠습니다.
피타고라스 음율
피타고라스는 음을 찾아 가기 위해 규칙을 정했습니다. 그 규칙은 아래와 같습니다.
1. C를 기준으로 한 옥타브내에서 음을 찾는다.
2. 오직 완전5도 = 3:2 비율만 쌓는다.
3. 옥타브 밖으로 나가면 ×2 또는 ÷2 해서 같은 옥타브로 되돌린다.
아래 그림은 피타고라스가 7개의 음을 단계적으로 찾아서 완성을 한 그림 입니다.

<그림 4: 음의 발견 과정>
이제 위의 그림을 바탕으로, 피타고라스가 각 단계를 거치며 어떻게 7개의 음을 찾아냈는지 하나씩 살펴보겠습니다.
첫 번째 음, G발견
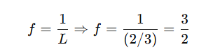
첫번째로 피타고라스는 현의 길이를 정확히 3:2로 나누어 보았습니다.
즉, 전체 길이를 2/3로 줄인 것이죠. 이 줄에서 나는 소리는 처음의 C음 보다는 조금 높으면서도 자연스럽고 조화로운 소리를 냈습니다.
그 소리는 오늘날 우리가 G음이라 부르는 소리입니다. 즉, 현의 길이가 2/3가 되면 주파수는 원래의 3/2배가 되어 C음 보다 약간 높은 소리가 나는데
이것은 물리적으로는 3배 Harmonic(배음) 이기 때문에 기본 음과 잘 어울리고 따라서 조화로운 소리가 나는 것 입니다.
이처럼 단순한 정수비(3:2) 로 이루어진 음정은
다른 어떤 음정보다도 순수하게 공명하기 때문에
후대의 이론가들이 여기에 “완전(Perfect)”이라는 이름을 붙였습니다.
그리고 이 음이 음계상으로 C에서 다섯 번째(G)에 해당하므로
‘완전5도(Perfect Fifth)’라 불리게 된 것입니다.
수학 공식으로 하면 다음과 같습니다.

위 그림4 에서 1번은 한 옥타브 위의 C5, 2번은 그보다 5도 낮은 G4에 해당합니다.
C4(기준음)의 주파수는 261.63Hz이고, G4의 주파수는 다음과 같이 계산됩니다.

이렇게 피타고라스는 단순한 현의 길이 변화로부터 수학적 비율이 소리의 아름다움을 결정한다는 사실을 깨달았습니다.
이것이 음을 발견한 첫걸음 인 것입니다.
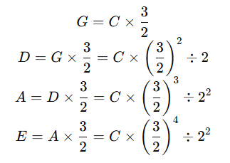
두 번째 – 5도의 사슬, D-A-E의 발견
피타고라스는 첫 번째로 완전5도(G)를 찾은 뒤, “이 규칙이 계속 통하는가?”를 확인하기 위해 같은 방법을 반복했습니다.
그는 새로 얻은 G를 기준으로 다시 현의 길이를 3:2로 줄여 보았습니다. 이번에는 G보다 조금 더 높은 음이 나왔고(나누기를 하지 않은 상태), 그것이 바로 오늘날의 D입니다.
이후 D를 기준으로 또다시 3:2의 비율을 적용하자 A가, 다시 A에서 3:2를 적용하자 E가 나타났습니다.
이렇게 피타고라스는 “5도의 사슬”을 따라가며 음들을 하나씩 확장해 나갔던 것입니다.
그림 4에서 3,4,5번 과정입니다.
수학적 비율로 본 5도 누적의 각 음은 다음과 같은 비율로 표현됩니다.

※ 옥타브를 벗어난 음은 ÷2²로 되돌려 놓습니다.
마지막 E는 이렇게 계산됩니다.

그런데 이 E는 C의 5배음으로 얻은 E(327.04Hz)보다 약간 높습니다.
이 미묘한 차이가 바로 피타고라스 콤마의 출발점이 됩니다.
피타고라스 콤마
피타고라스는 E음을 구하면서 이상한 점을 발견했습니다.
같은 E인데, 계산으로 얻은 값과 실제 배음(4/5 비율)으로 얻은 값이 미세하게 달랐던 것입니다.
둘 다 수학적으로 완벽해 보였지만,
한쪽은 330.0Hz, 다른 한쪽은 327.0Hz로 —
아주 작지만 무시할 수 없는 차이가 생겼습니다.
이 미묘한 차이가 바로 피타고라스 콤마(Pythagorean Comma) 입니다.
즉, 완전5도(3:2) 비율을 여러 번 반복해 음계를 쌓아 올리면
처음 음과 배음 비율로 얻은 음이 완전히 일치하지 않는다는 사실을 보여줍니다.
피타고라스는 이 작은 차이를 단순한 오차가 아닌 자연의 비밀로 보았습니다.
그는 수학적 비율이 조화의 근원이지만,
동시에 자연의 불완전함을 드러내는 증거이기도 하다는 것을 깨달았습니다.
이것이 바로 음률의 역사에서 “조화의 균열”,
즉, 평균율로 이어지는 사상의 출발점이 된 순간입니다.
위 그림4에서 피타고라스 콤마로 표기된 부분을 참조 하십시오.
세 번째 – F와 B의 발견
지금까지는 C음을 기준으로 3:2 비율로 높은 방향으로 음을 구하였습니다. 그러다 보니까 너무 치우쳐서 균형을 맞추기 위해
이번에는 낮은 방향으로 3:2 비율을 찾아 봤습니다. 실제로는 현의 길이는 3/2 만큼 길어지고 주파수는 반대로 낮아 졌습니다.

그 값은 f = 261.63 x 2/3 = 174.42Hz(=F3) 입니다. 그런데 이것은 C 기준음 보다 낮아서 이것을 옥타브 안으로 가져오기 위해 2를 곱했습니다.

그래서 비율이 4:3 이 되었습니다. 실제로 주파수를 구해보면 f = 261.63 x 4 /3 = 348.84Hz(=349Hz = F4) 가 나옵니다.
그림 4에서 6번 과정이며 C에서 4도 높이 있고 배음구조에 포함되기 때문에 완전을 붙여서 완전 4도(Perfect Fourth)라고 불렀습니다.
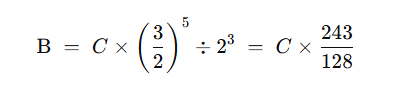
다음은 B를 구하는 과정인데 B는 C에서 시작해 5도 사슬을 따라 가면 C -> G -> D -> A -> E -> B 로 진행됩니다.
이것을 수식으로 보면 아래와 같습니다.

계속 올리면 옥타브를 벗어 나므로 진행 중에 3번 옥타브를 내려서 같은 옥타브 내에 들어오도록 하였습니다.
따라서 B는 아래 식에 의해서 구해 졌습니다.

이것은 위 그림4의 7번 과정입니다.
7음계와 반음
피타고라스는 C의 기준 주파수 261.63Hz를 가지고 7개의 음을 모두 찾았습니다. 우리는 이것을 피타고라스 7음계라고 합니다.
아래는 각 음의 비율을 나타내고 있습니다.

여기서 각 음 간의 비율을 계산해 보겠습니다.
먼저 C와 D 사이 입니다. 다음과 같이 계산 됩니다.

D와 E사이는 다음과 같습니다.

마찬가지로 FG, GA, AB도 모두 9/8 비율입니다.
이것이 우리가 말하는 온음(Whole Step) 인 것입니다.
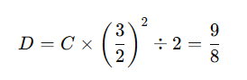
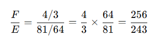
다음은 EF사이를 계산해 보겠습니다.

다음은 BC사이를 계산해 보겠습니다. 여기서 C는 C4가 아니라 한옥타브 위인 C5입니다.

따라서 E–F와 B–C의 비율은 256/243으로, 피타고라스 음률에서의 반음입니다.
결론
피타고라스는 단순히 ‘아름다운 소리’를 찾은 사람이 아니라, 자연 속에 이미 존재하던 질서를 발견한 사람이었습니다.
그가 현의 길이를 일정한 수학적 비율로 나누어 실험한 결과, 5도(3:2), 4도(4:3), 온음(9:8), 그리고 반음(256:243) 의 관계가 나타났습니다.
이로써 우리는 반음이 인위적으로 만들어진 간격이 아니라, 배음 구조 속에서 수학적으로 필연적으로 생겨난 결과임을 알 수 있습니다.
즉, 반음은 누군가가 편의상 정한 간격이 아니라, 자연이 스스로 만들어 낸 음의 질서였습니다.
지금까지 피타고라스가 음을 찾아가는 과정을 따라가며 살펴본 결과, 그의 실험은 단순한 소리의 탐구를 넘어
오늘날 음악 이론의 기초를 이루는 중요한 발견이었음을 알게 되었습니다.
이상으로 반음이 왜 생겨났는지에 대해 살펴보았습니다.
<참조 사이트>
카루(창배)
피타고라스 음율
What is the reason a given note can have different “sounds”
Harmonics Analysis: Using Fourier to Analyze Waveforms
I really like it when folks come together and share views. Great site, stick with it!